1.配合饲料的优点
配合饲料是指根据饲养标准科学地将几种饲料按一定比例混合在一起的营养全面的饲料。猪在生产过程中需要一定量的各种营养,但自然界中没有哪一种饲料能满足这个要求,用单一饲料喂猪的结果必然影响猪的生长,浪费饲料,减少经济效益。相反,饲用配合饲料不但能满足猪的营养需要,还能相对地降低饲料成本。配合饲料的优越性可概述如下。
(1)由于配合饲料是全价的,营养物质利用率高,可用最少的饲料获得最多的产品。
(2)配合饲料生产时,是将几种饲料混合使用,饲料之间营养物质相互补充,可以最合理地利用各种饲料,减少浪费,这对于一些资源贫乏的饲料如蛋白质饲料尤为重要。
(3)饲料配制时,可加入各种添加剂,防止了营养不足、过量和中毒现象,可以抑制病原微生物的生长,减少疾病发生,促进猪的生长,改善饲料利用率,提高胴体品质。
2.饲粮配合的原则
(1)配合饲粮时应依据猪的饲养标准及饲料营养价值。饲养标准是配合饲粮的指南,饲料的营养价值是基础,查阅饲料营养价值表时要尽量选择接近本地区饲料的营养价值,以减少误差。
(2)必须满足猪对能量、蛋白质、维生素和矿物质的需要,要注意到蛋白质的品质、必需氨基酸的平衡程度。
(3)注意饲粮体积,控制粗纤维含量。母猪饲粮体积可以较大些,使母猪有饱腹感,粗纤维含量可达10%左右,而仔猪和肥育猪等要控制饲粮体积,以免能量摄入不足,影响生长。
(4)饲料要多样化。充分利用当地饲料资源,力求饲料品种多样化,使营养物质之间相互补充,提高利用率。
(5)饲料要质地良好,适口性好,严禁喂发霉变质、有毒有害的饲料。
(6)要考虑经济原则。在养猪生产中,饲料成本约占总成本的60%~70%,为了提高经济效益,降低饲料成本,应在满足猪营养需要的前提下,尽量选用价格低廉、来源广泛的饲料。
3.配合饲料的类型
猪配合饲料的种类很多,按猪的类别可将配合饲料分乳猪料、幼猪料、肥猪料、哺乳母猪料、妊娠母猪料和公猪料等;按形态可将配合饲料分为粉料、破碎料、颗粒料、压扁料、膨化漂浮料及液体料等;按营养可将配合饲料分为添加剂预混料、浓缩料、混合料和全价配合料。
(1)添加剂预混料
把多种饲料添加剂按一定比例与定量载体混合制成,喂猪时,按说明加入基础饲粮中。
(2)浓缩料
在添加剂预混料的基础上再加入蛋白质饲料。
(3)混合料
多为养猪户利用,自家生产的能量饲料加入少量蛋白质饲料和矿物质饲料混合而成。
(4)全价配合饲料
这种饲料根据科学配方,利用多种能量饲料、蛋白质饲料和饲料添加剂预混料配合而成,营养全面,比例适当,饲养效果好,经济效益高。
4.饲粮中各类饲料的比例
不同饲料在猪饲粮中所占比例不同,同一种饲料在不同饲粮中所占比例也不尽相同。配合饲粮时应参考典型饲粮配方和实践经验灵活掌握。主要饲料种类在肥育猪饲粮中搭配比例可参考表1。
表1 各类饲料在肥育猪饲粮中的比例 单位:%

5.设计饲粮配方的方法
配合猪的饲粮首先要设计饲粮配方,有了配方,然后“照方抓药”。设计猪饲粮配方的方法很多,如四方形法、试差法、线性规划法、计算机法等。目前农村养猪户和小型猪场多采用四方形法或试差法,而大型猪场和饲料公司多采用计算机法。
(1)四方形法
此法简单易懂,一般在饲料种类不多及考虑营养指标较少的情况下采用。
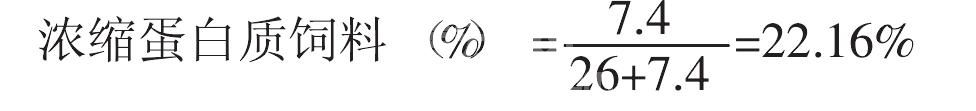
①两种饲料的计算方法:如利用某一含粗蛋白质42%的浓缩蛋白饲料和含粗蛋白质8.6%的玉米,配制成含粗蛋白质16%的生长肥育猪饲粮,其计算步骤如下。
第一步,画一个四方形,在四方形中央写上所配饲粮的蛋白质含量16%。

第二步,在四方形左上角,写玉米粗蛋白质的含量,即玉米8.6%;在四方形左下角,写浓缩饲料粗蛋白质含量,即浓缩料42%。

第三步,按四方形两对角线进行计算,用大数减去小数,并在计算过程中去掉百分号,即42-16=26;16-8.6=7.4。把得数写在对角上。

所以,右上角得数26是玉米在饲粮中所占的份数;右下角得数7.4是浓缩料在饲粮中所占的份数,总份数为26+7.4=33.4。
第四步,把上一步的份数换算成百分比(%)。即:
![]()

②多种饲料的计算方法:两种以上的饲料可以先排除固定原料成分,然后把饲料分为两组进行计算。例如,利用玉米、稻谷、麦麸、米糠、豆饼、菜子饼、进口鱼粉(含粗蛋白质60.5%)、贝壳粉、食盐、添加剂,为生长肥育猪配制含粗蛋白质为16%的饲粮,其计算步骤如下。
第一步,首先确定某些饲料比例,然后进行饲料分组。即确定鱼粉的比例为2%,贝壳粉为1%,食盐为0.3%,添加剂为0.7%;玉米、稻谷、麦麸、米糠为能量饲料组;豆饼、菜子饼为蛋白质饲料组。
根据实际情况确定能量饲料玉米、稻谷、麦麸、米糠按40∶35∶15∶10组成,并从《猪常用饲料营养成分表》中查到上述各种饲料的粗蛋白质含量,即:

蛋白质饲料豆饼、菜子饼按60∶40组成,并查出粗蛋白质含量。即:
![]()
饲粮中未确定成分所占的比例为:
100%-2%-1%-0.3%-0.7%=96%
饲粮中未确定成分应含粗蛋白质为:
(16%-60.5%×2%)÷96%=15.41%
第二步,把混合的能量饲料和混合的蛋白质饲料用四方形法计算。即:

四方形右上角得数24.60是能量饲料在饲粮中所占的份数;右下角得数6.28是未确定比例的蛋白质饲料在饲粮中所占的份数。
第三步,把上列饲料换算成百分数。即:
能量饲料为:24.60÷(24.60+6.28)=79.66%
蛋白质饲料为:6.28÷(24.60+6.28)=20.34%
第四步,计算各种饲料在饲粮中的比例。
玉米:40%×79.66%=31.86%
稻谷:35%×79.66%=27.88%
麦麸:15%×79.66%=11.95%
米糠:10%×79.66%=8.00%
豆饼:60%×20.34%=12.20%
菜子饼:40%×20.34%=8.14%
进口鱼粉:2%
贝壳粉:1%
食盐:0.3%
添加剂:0.7%
(2)试差法
所谓试差法就是根据经验和饲料营养含量,先大致确定一下各类饲料在饲粮中的大致比例,然后进行营养价值计算,计算结果与饲料标准比较,若某一项或某一部分营养不足或过多,将相应部分饲料比例调整,再计算,直到近似饲养标准为准。这种方法是生产中使用最多的,比较容易掌握。
例如,为体重35~60千克的生长肥育猪配合饲粮,可供饲料有玉米、大麦、米糠、豆饼、苜蓿草粉、贝壳粉、食盐及各种饲料添加剂。
第一步,根据配料对象及现有的饲料种类列出饲养标准及饲料成分表(见表2)。
表2 生长肥育猪饲养标准及饲料成分

第二步,试制饲粮配方,算出其营养成分。如初步确定各种饲料的比例为:玉米39.5%、大麦30%、米糠16%、豆饼8%、苜蓿草粉4%、贝壳粉1.5%、食盐0.3%、添加剂0.7%。饲料比例初步确定后可列出试制的饲粮配方及其营养成分表(见表3)。
表3 试制的饲粮配方及其营养成分表

第三步,补足饲粮中粗蛋白质含量。从以上试制的饲粮配方来看,消化能比饲养标准多1.002兆焦/千克,而蛋白质比饲养标准少1.175,这样可利用豆饼代替部分玉米进行调整。从饲料成分表中可查出豆饼的粗蛋白质含量比玉米高34.4%(43-8.6)。在这里,每用1%豆饼代替玉米,则可提高蛋白质0.344%。这样,我们可以增加3.416(1.175/0.344)豆饼来代替玉米就能满足粗蛋白质的饲养标准。第一次调整后的饲粮配方及其营养成分表(见表4)。
表4 第一次调整后的饲粮配方及其营养成分表

第四步,平衡钙磷,补充添加剂。从表4中可以看出,饲粮配方中的钙多0.1763%,其他营养含量与饲养标准相差不多。这样可用0.5241%(0.763/0.3364)的玉米代替贝壳粉,添加剂按药品说明添加。
经过调整的饲粮配方中的所有营养已基本满足要求,调整后确定使用的饲粮配方及其营养成分表(见表5)。
表5 最后确定使用的饲粮配方及其营养成分表

在配合饲粮时要求反复试差调整,直至近似饲养标准为止。一般来说,试差结果与饲养标准相差不超过正负5%即为近似饲养标准,配合结果计算值不可能也没有必要与饲养标准完全相同。
设计猪的饲粮配方除掌握方法外,还与生产实践经验有很大关系,我们要在饲养过程中不断总结经验,设计出符合猪要求的科学配方。
(3)计算机设计法
随着电子工业的发展,电子计算机也被广泛应用于饲粮配方设计之中。利用电子计算机设计饲粮配方,其原理是把饲粮配方设计的计算抽象为简单目标线性规划问题,饲粮配方设计过程,就是求解相应线性规划问题最优解的过程,即利用高级计算机算法语言编出程序,将饲粮配方问题抽象成线性规划模型后,准确适当地列出输入数据,相应利用各种微机和程序求解。在实际生产中,人们可以利用电脑公司提供的计算机软件设计饲粮配方。与一般方法相比,用电子计算机设计饲粮配方有以下优点。
①可以满足猪所有营养物质的需要。利用手工设计,只能确定几种主要技术指标,计算简单的饲粮配方。使用电子计算机后,利用线性规划和计算机语言,可以将猪饲养标准中规定的所有指标一一满足,使全面考虑营养与成本的愿望变为现实。
②操作简单,快速及时。利用计算机设计饲粮配方,全部计算工作都由计算机完成,且速度相当快,仅需几分钟。计算内部程序固定化,操作起来极为简单。
③可计算出高质量、低成本的饲粮配方。利用计算机设计出来的饲粮配方都是最优化的,它既保证原料的最佳配比,又追求最低成本,这样可充分利用饲料资源,提高饲料转化率,获取最大的经济效益。
④提供更多的参考信息。计算机不仅能设计饲粮配方,还能进行经济分析,经营决策,生产管理,市场营销,信息反馈等多种非常重要的作用。
当然,再先进的电子计算机也仅是一种为人类服务的工具,并不是万能的,要设计出好的饲粮配方,还必须掌握营养学、饲料学原理,且具有丰富的实践经验。
6.饲粮的拌和方法
饲粮使用时,要求猪所吃的每一部分饲料所含的养分都是均衡的,相同的,否则将会使猪产生营养不良或中毒现象,即使你的饲料配方非常科学,饲养条件非常好,仍然不能获得满意的饲养效果。因此,必须将饲料搅拌均匀,以保证猪的营养需要。饲料拌和有机械拌和和手工拌和两种方法,只要使用得当,都能获得满意的效果。
(1)机械拌和
即采用搅拌机进行。常用的搅拌机有立式和卧式两种。立式搅拌机适用于拌和含水量低于14%的粉状饲料,含水量过多则不易拌和均匀。这种搅拌机所需动力小,价格低,维修方便,但搅拌时间较长(一般每批需10~20分钟),适于中小规模养猪场使用。卧式搅拌机在气候比较潮湿的地区或饲料中添加了黏滞性强的成分(如油脂)的情况下,都能将饲料搅拌均匀。该机搅拌能力强,搅拌时间短,每批3~4分钟。主要在一些饲料加工厂和大型猪场使用。无论使用哪种搅拌机。为了使搅拌均匀,都要注意适宜的装料量,装料过多或过少都会使均匀度无法保证,一般为装料容量的60%~80%。搅拌时间也是关系到混合质量的重要因素,混合时间过短,质量肯定得不到保证,但也不是时间愈长愈好,搅拌过久,使饲料混合均匀后又因过渡混合而导致分层现象,同样影响混合均匀度。时间长短可按搅拌机使用说明进行。
(2)手工拌和
是家庭养猪时饲料拌和的主要手段。拌和时,一定要细心、耐心,防止一些微量成分打堆、结块,拌和不均,影响饲用效果。
手工拌和时特别要注意的是一些在饲粮中所占比例小,但会严重影响饲养效果的微量成分,如食盐和各种添加剂,如果拌和不均,轻者影响饲养效果,严重时造成猪产生疾病、中毒,甚至死亡。对这类微量成分,在拌和时首先要充分粉碎,不能有结块现象,块状物不能拌和均匀,被猪采食后有可能发生中毒。其次,由于这类成分用量少,不能直接加入大宗饲料中进行混合,而应采用预混合的方式。其做法是,取10%~20%的精料(最好是比例大的能量饲料,如玉米面、麦麸等)作为载体,另外堆放,然后将微量成分分散加入其中,用平锹着地撮起,重新堆放,将后一锹饲料压在前一锹放下的饲料上,即一直往饲料堆的顶上放,让饲料沿中心点向四周流动成为圆锥形,这样可以使各种饲料都有混合的机会。如此反复3~4次即可达到拌和均匀的目的,预混合料即制成。最后再将这种预混合料加入全部饲料中,用同样方法拌和3~4次即能达到目的。
手工拌和时,只有通过这样拌和,才能保证配合饲粮品质,那种在原地翻动或搅拌饲料的方法是不可取的。